By Kevin L. Brown
Published: September 2025 (DOI 10.5281/zenodo.16990955)
A Compass for Balance
At every scale — whether in a power grid, a forest, or a national economy — there’s one question that defines resilience:
is the system stable, or is it about to tip?
Until now, stability has been judged indirectly: GDP growth rates, biodiversity counts, sensor alarms, or survey results. Each tells a fragment of the story. But none provide a single, unified score of systemic balance.
The THD Equilibrium Index (TEI) was created to answer that need. It transforms complexity into a measurable quantity of stability, grounded in mathematics but designed for real-world use.
The Five Foundations
TEI is built on five measurable dimensions:
- Signal Integrity (T) — clarity of communication or transmission.
- Input Acquisition (Cu) — the ability to draw in necessary resources.
- Transform Efficiency (Cr) — how effectively inputs are converted into usable outputs.
- Load Balance (B) — how evenly stresses or responsibilities are distributed.
- Phase Alignment (H) — the coherence of timing, cycles, or rhythms.
Each is normalized between 0 and 1, so that no parameter can dominate unfairly.
Together, they define the system’s “vitals.”
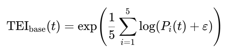
The Core Equation
The heart of TEI is its log-additive base formula:

where each Pi represents one of the five parameters.
Why this form?
- Fragility is exposed: If one parameter collapses toward zero, the whole index reflects it. This prevents weak links from being hidden by averaging.
- Information-theoretic grounding: The formula minimizes cumulative “information loss” across all parameters, making the measure sensitive to imbalance.
- Cross-domain consistency: Because it’s dimensionless and normalized, TEI can be applied to physics labs, ecological surveys, or macroeconomic data with no unit mismatch.
This is the mathematical backbone that turns qualitative judgments of stability into a quantitative, falsifiable metric.
Temporal Dynamics and Shocks
Real systems don’t sit still. They absorb shocks, drift from balance, and recover.
TEI accounts for this with update equations that model:
- Recovery toward equilibrium targets.
- Couplings that allow weaknesses in one parameter to affect others.
- Exogenous shocks that can be injected directly (like a blackout, financial crash, or ecological disturbance).
The mathematics ensures TEI is not just a snapshot — it is a time-series of stability.
Why It Matters
This framework isn’t abstract theory. It has direct applications:
- Energy Grids: Operators can track TEI as an early warning before failures cascade.
- Organizations: Leadership teams can spot imbalance across workload and timing before burnout or collapse.
- Ecosystems: Conservationists can measure resilience in forests or fisheries before thresholds are crossed.
- GDP and National Economies: TEI can flag when rising output masks fragility — when growth is real but unsustainable.
In every case, TEI doesn’t replace existing metrics; it integrates them into one coherent score.
The THD Connection
TEI is not floating on its own. It is built on the deeper principles of Triune Harmonic Dynamics (THD).
THD describes how systems resonate across three interacting layers:
- fast signals,
- mid-scale flows,
- and slow structural rhythms.
TEI translates that conceptual harmonic framework into a practical measurement tool. Where THD is the map of resonance, TEI is the compass in the hand.
Open Science
The full derivation, validation plan, and equations are openly available:
The THD Equilibrium Index (TEI): Axiomatic-but-Testable Stability Metrics with Pairwise and Sparse Higher-Order Couplings
All results are published transparently, with falsifiability built into the design.
This is not belief. It is a hypothesis that can be tested, refined, or falsified — in laboratories, in organizations, in ecological surveys, or in economic data.
Conclusion
The THD Equilibrium Index transforms stability from a vague intuition into a measurable, testable science.
By uniting five simple signals into one equation, TEI offers humanity a new way to see balance — whether in machines, markets, or ecosystems.
History shows that the right measure at the right time can unlock progress across disciplines. TEI may be such a measure: a compass for balance in a century defined by instability.
